
Abstract:
Objectives: Iron deficiency anemia (IDA) is a major health issues and common type of nutritional deficiency worldwide. For IDA treatment, IV iron is a useful therapy. Many intravenous (IV) iron preparations are used for treatment of iron-deficiency anemia (IDA). The purpose of this study is to evaluate the efficacy of ferric carboxymaltose (FCM) in comparison to iron sucrose (IS) in treatment of IDA adult patients; considering cost-effectiveness (CE) for IDA patients from Qatar healthcare system perspective. We evaluated both treatments considering their response outcomes at 12 months period as well their respective acquisition costs.
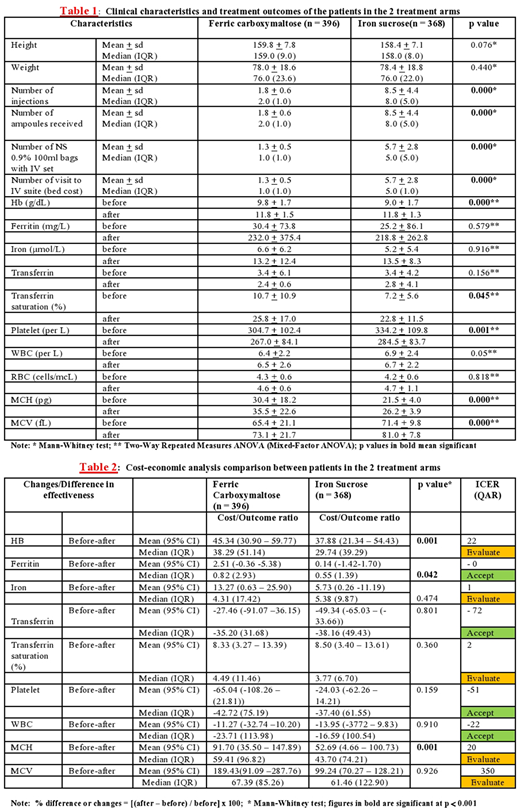
Methods: This was a cross sectional study with retrospective data performed on 764 IDA adult patients who were treated either with FCM or IS for IDA linking clinical efficacy (defined as improvement in hemoglobin (HB), ferritin and transferrin saturation levels) utility, and CE evaluation, including Incremental Cost-Effectiveness Ratio (ICER) over a 12-months period. The response to treatment was the primary outcomes. As the clinical laboratory data were collected before and after the first injection of the medications. The cost i.e. resources consumed were also the main outcome in our study. The cost effectiveness of FCM and IS was the secondary outcome. Direct healthcare costs were derived from the national healthcare payer system. Both descriptive and differential statistics were applied for data analysis. Alpha = 0.05.
Results: Patients in the IS group used significantly higher number of injections, ampoules of medication, NS 0.9% bags and visits to the IV suite compared to FCM group. There were significant changes of laboratory tests between the FCM and IS groups. Further analysis in the change of effectiveness, indicated that the changes of hemoglobin and MCH levels in the IS group were significantly higher than the FCM group. The overall cost of IS therapy was significantly slightly higher than FCM. The medication cost for FCM was approximately 6.5 times higher than IS but cheaper in terms of bed cost and nursing cost. CE ratio illustrated that FCM and IS were significantly different in terms of HB, ferritin and MCH levels. Further, ICER indicated that further justifications and decisions need to be made for FCM when using HB, iron, transferrin saturation, MCH and MCV levels as the surrogate outcomes.
Conclusions: The higher cost of FCM versus IS can be offset by savings in healthcare personnel time and bed space. ICER indicated that further justifications and decisions need to be made for FCM when using HB, iron, transferrin saturation, MCH and MCV levels as the surrogate outcomes.
Limitations and strengths: Limited data is available with respect to comparison of safety and adverse effects of FCM and IS. The data is reliable as it was collected and documented before and after the treatment. Patients were monitored 30 min after the infusion to ensure keen observation and maximum safety.
No relevant conflicts of interest to declare.
Author notes
Asterisk with author names denotes non-ASH members.

This icon denotes a clinically relevant abstract
